Regarding gears, this is the most comprehensive article I have ever seen. I fully understood everything after reading it
Today I'm going to talk about gears in detail
1.What is a gear?
A gear is a toothed mechanical component that can mesh with another toothed part. It is extremely widely used in mechanical transmission and the entire field of machinery.
2.The history of gears
As early as 350 BC, the famous Greek philosopher Aristotle recorded information about gears in his writings. Around 250 BC, the mathematician Archimedes also documented the use of a worm gear hoist. The ruins of Ctesiphon in present-day Iraq still preserve gears from that era.

The history of gears in China is also long and rich. According to historical records, gears were used in ancient China as early as 400-200 BC. The bronze gears unearthed in Shanxi Province are the oldest gears discovered to date. The south-pointing chariot, a mechanical device reflecting ancient scientific and technological achievements, was based on a gear mechanism. In the second half of the 15th century, during the Italian Renaissance, the renowned polymath Leonardo da Vinci made indelible contributions to the history of gear technology, in addition to his achievements in culture and the arts. More than 500 years later, modern gears still retain the prototypes of his sketches.


It was not until the end of the 17th century that people began to study the correct tooth shapes for transmitting motion. After the European Industrial Revolution in the 18th century, the application of gear transmission became increasingly widespread. Cycloidal gears were developed first, followed by involute gears. By the early 20th century, involute gears had become dominant in applications. Subsequently, other types of gears were developed, including modified gears, circular arc gears, bevel gears, and helical gears.
Modern gear technology has achieved the following: gear module ranges from 0.004 to 100 millimeters; gear diameters range from 1 millimeter to 150 meters; power transmission can reach up to 100,000 kilowatts; rotational speeds can reach up to 100,000 revolutions per minute; and the highest circumferential speed can reach 300 meters per second.
Internationally, power transmission gear devices are developing towards miniaturization, high speed, and standardization. The application of special gears, the development of planetary gear systems, and the research and production of low-vibration, low-noise gear devices are some characteristics of gear design.
3. Gears are generally divided into three major categories.
There are many types of gears, and the most common classification method is based on the orientation of the gear shafts. They are generally divided into three types: parallel shafts, intersecting shafts, and skew (non-parallel, non-intersecting) shafts.
1) Parallel shaft gears: These include spur gears, helical gears, internal gears, racks, and helical racks.
2) Intersecting shaft gears: These include straight bevel gears, spiral bevel gears, and zerol bevel gears.
3) Skew (non-parallel, non-intersecting) shaft gears: These include crossed helical gears, worm gears, and hypoid gears.

The efficiency listed in the table refers to transmission efficiency and does not include losses due to bearings, lubrication stirring, etc. The meshing of parallel shaft and intersecting shaft gear pairs is primarily rolling, with very minimal relative sliding, resulting in high efficiency. Skew shaft gears, such as crossed helical gears and worm gears, transmit power through relative sliding, leading to significant friction and lower transmission efficiency compared to other gears. The efficiency of gears is the transmission efficiency under normal assembly conditions. If there is improper installation, especially with incorrect assembly distances for bevel gears resulting in errors at the apex of the cone, the efficiency will significantly decrease.
3.1 Parallel Shaft Gears
1) Spur Gears
These are cylindrical gears with teeth that are parallel to the axis of rotation. Due to their ease of manufacturing, they are the most widely used type in power transmission.

2) Rack
A linear gear that meshes with a spur gear. It can be considered a special case of a spur gear where the pitch circle diameter becomes infinitely large.

3) Internal Gear
A gear with teeth machined on the inner side of a circular ring, meshing with a spur gear. It is primarily used in planetary gear systems and gear couplings, among other applications.

4) Helical Gear
A cylindrical gear with teeth that are cut in a helical pattern. Due to its higher strength and smoother operation compared to spur gears, it is widely used. Helical gears generate axial thrust during operation.

5) Helical Rack
A linear gear that meshes with a helical gear. It is equivalent to a helical gear with an infinitely large pitch diameter.

6) Herringbone Gear
A gear composed of two helical gears with left- and right-handed teeth arranged in a V-shaped pattern. It has the advantage of not generating axial thrust.

3.2 Intersecting Shaft Gears
1) Straight Bevel Gear
A bevel gear where the teeth are aligned with the generatrix of the cone. Among bevel gears, it is one of the easier types to manufacture, making it widely used for power transmission applications.

2) Spiral Bevel Gear
A bevel gear with curved teeth that have a spiral angle. Although it is more difficult to manufacture compared to straight bevel gears, it is widely used for its high strength and low noise characteristics.

3) Zerol Bevel Gear
A bevel gear with a spiral angle of zero degrees. It combines characteristics of both straight and spiral bevel gears, with the tooth surface stress conditions similar to those of straight bevel gears.

3.3 Skew Shaft Gears
1) Cylindrical Worm Gear Pair
The cylindrical worm gear pair consists of a cylindrical worm and the corresponding worm wheel that meshes with it. Its main characteristics are smooth operation and the ability to achieve a large transmission ratio with just a single pair. However, it has the disadvantage of lower efficiency.

2) Skew Helical Gear
This term refers to the cylindrical worm gear pair used for power transmission between skew shafts. It can be used with helical gear pairs or with helical gears and spur gears. Although it operates smoothly, it is best suited for light-load applications.

3.4 Other Special Gears
1) Face Gear
A disc-shaped gear that can mesh with spur gears or helical gears. It is used for power transmission between intersecting axes and skew shafts.

2) Globoidal Worm Gear Pair
This term refers to the globoidal worm and the corresponding worm wheel that meshes with it. Although it is more difficult to manufacture, it can transmit larger loads compared to the cylindrical worm gear pair.

3) Hypoid Gear
A conical gear used for power transmission between skew shafts. Both the large and small gears are machined eccentrically, similar to spiral bevel gears, with a very complex meshing principle.

4.Basic Gear Terminology and Dimension Calculation
Gears have many unique terms and representation methods. To help everyone gain a better understanding of gears, here are some commonly used basic gear terminologies.
1) Names of Various Parts of a Gear

2) The term used to denote the size of gear teeth is "module."
For example, m1, m3, and m8 are referred to as module 1, module 3, and module 8, respectively. The module is a globally accepted term, represented by the symbol 𝑚
m (module) and a number (in millimeters) to indicate the size of the gear teeth. The larger the number, the larger the gear teeth.
In countries using imperial units (such as the United States), the size of the gear teeth is represented by the symbol (Diametral Pitch) and a number (the number of teeth per inch of pitch diameter). For example: DP24, DP8, etc. There is also a unique method using the symbol (Circular Pitch) and a number (in millimeters) to represent gear tooth size, such as CP5, CP10.
The gear pitch (p) is obtained by multiplying the module by π (pi). The pitch is the length between adjacent teeth.
The formula is: p = π × m
Comparison of gear tooth sizes with different modules:

3) Pressure Angle
The pressure angle is a parameter that determines the gear tooth profile, specifically the inclination of the gear tooth surface. The pressure angle (α) is typically set at 20°. Previously, gears with a pressure angle of 14.5° were quite common.

The pressure angle is the angle between the radius line and the tangent to the gear tooth profile at a specific point (usually the pitch point). As shown in the diagram, α represents the pressure angle. Since α' = α, α' is also considered the pressure angle.


When observing the meshing state of gear A and gear B from the node, gear A applies force to gear B at the node. At this moment, the applied force acts along the common normal of gears A and B. In other words, the common normal is the direction of the force application and also the direction of pressure. The angle α is the pressure angle.
The module (m), pressure angle (α), and the number of teeth (z) are the three fundamental parameters of a gear, and these parameters are used as the basis for calculating the dimensions of various parts of the gear.
4) Gear height and gear thickness
The height of the gear teeth is determined by the module (m).

The total height of the gear h=2.25m (equal to the sum of the root height and the addendum height).
The addendum height (ha) is the height from the top of the tooth to the pitch circle. ha=1m.
The root height (ℎ𝑓) is the height from the root of the tooth to the pitch circle. hf =1.25m.
The tooth thickness (s) is based on half the pitch. s= πm/2
5) Gear Diameter
The parameter that determines the size of the gear is the pitch circle diameter (𝑑). The pitch circle is used as a reference to determine the pitch, tooth thickness, tooth height, addendum height, and root height.
. Pitch circle diameter 𝑑=𝑧𝑚
. Addendum circle diameter 𝑑𝑎=𝑑+2𝑚
. Root circle diameter 𝑑𝑓=𝑑−2.5𝑚



7) Helical Gears
Helical gears are gears that have their teeth twisted in a helical shape compared to spur gears. Most of the geometric calculations for spur gears can be applied to helical gears. Helical gears come in two types based on their reference planes:
. Axial Plane (perpendicular to the shaft) Reference (axial module/pressure angle)
. Normal Plane (along the tooth direction) Reference (normal module/pressure angle)
The relationship between the axial module mt and the normal module m𝑛 is given by the formula:
mt =m𝑛 / cosβ

8) Helical Direction and Mating
For helical gears, spiral bevel gears, and other gears with helical teeth, the direction of the helix and the way they mate are fixed. The helical direction refers to the direction of the gear teeth when the center axis of the gear is oriented vertically. When viewed from the front, teeth pointing towards the upper right are classified as [right-handed], and those pointing towards the upper left are [left-handed]. The mating configurations for various gears are as follows:


5. The Most Common Gear Tooth Profile is the Involute Tooth Profile
If you simply divide the circumference of friction wheels into equal tooth pitches, attach protrusions, and mesh them together, the following issues will arise:
. Sliding occurs at the contact points of the gear teeth.
. The speed at which the contact points move varies, sometimes faster and sometimes slower.
. Vibration and noise are generated.

To achieve quiet and smooth gear transmission, the involute curve was developed.
1) What is an Involute?
An involute is the curve traced by the end of a string as it is unwound from a cylinder while keeping the string taut. The cylinder's circumference from which the string is unwound is called the base circle.

2) Example of an 8-Tooth Involute Gear
Divide the circumference of the cylinder into 8 equal parts and attach 8 pencils to these points. Draw 8 involute curves by unwinding the string from each point. Then, wind the string in the opposite direction and draw 8 more curves in the same manner. The resulting shape, using these involute curves as the tooth profiles, forms an 8-tooth gear.

3) Advantages of Involute Gears
. Proper meshing is possible even if there are slight errors in the center distance.
. It is relatively easy to achieve the correct tooth profile, making manufacturing simpler.
. Because the teeth engage by rolling along the curve, rotational motion is transmitted smoothly.
. A single cutting tool can be used to manufacture gears with different tooth counts, as long as the tooth size is the same.
. The tooth roots are robust, providing high strength.
4) Base Circle and Pitch Circle
The base circle is the fundamental circle from which the involute tooth profile is generated. The pitch circle is the reference circle that determines the size of the gear. Both the base circle and the pitch circle are important geometric dimensions of a gear. The involute tooth profile is formed on the outside of the base circle. The pressure angle at the base circle is zero degrees.
5) Meshing of Involute Gears
Two standard involute gears mesh at the pitch circles, which are tangent to each other at the standard center distance.
When two gears mesh, it visually appears as if the gears are friction wheels with diameters 𝑑1 and 𝑑2 in contact and transmitting motion. However, the meshing of involute gears actually depends on the base circles rather than the pitch circles.

The meshing contact points of two gear tooth shapes move on the meshing line in the order of P1-P2-P3
Pay attention to the yellow tooth of the driving gear. After this tooth begins to mesh, for a period of time, the gears are in double-tooth contact (at points P1 and P3). As the meshing continues and the contact point moves to the pitch circle at point P2, the gears are in single-tooth contact. When the contact point moves to point P3, the next tooth begins to mesh at point P1, re-establishing double-tooth contact. In this manner, double-tooth contact and single-tooth contact alternate, transmitting rotational motion smoothly.
The common tangent to the base circles A—B is called the line of action. All meshing points of the gears lie on this line.

Use an illustrative diagram to represent the concept, similar to how a belt crosses over and loops around the circumference of two base circles to transmit power through rotational motion.

6. Gear Modification: Positive and Negative Modification
The tooth profile of gears we commonly use is usually the standard involute, but there are situations where gear teeth need to be modified, such as adjusting the center distance or preventing undercutting of small gears.
1) Number of Teeth and Shape of Gears
The involute tooth profile curve varies with the number of teeth. The more teeth there are, the more the tooth profile curve tends to be a straight line. As the number of teeth increases, the tooth root profile becomes thicker, and the tooth strength increases.
As shown in the above figure, the gear with 10 teeth experiences undercutting where part of the involute tooth profile at the root is cut away. However, if positive modification is applied to the gear with z=10 teeth, increasing the addendum circle diameter and the tooth thickness, it can achieve the same level of gear strength as a gear with 200 teeth.
2) Modified Gears
The figure below shows the schematic diagram of positive modification cutting for a gear with z=10 teeth. During cutting, the radial movement amount of the cutter, xm (mm), is called the radial modification amount (referred to as the modification amount).
xm = modification amount (mm)
x = modification coefficient
m = module (mm)

Through positive modification, the tooth thickness of the gear increases, and the outer diameter (addendum circle diameter) also becomes larger. By applying positive modification, gears can avoid the occurrence of undercut. Gear modification can also achieve other purposes, such as changing the center distance: positive modification can increase the center distance, while negative modification can decrease it.
Both positive and negative modifications have limitations on the amount of modification.
3) Positive and Negative Modification
Modification includes positive and negative modification. Although the tooth height remains the same, the tooth thickness differs. Gears with increased tooth thickness are positively modified, while gears with reduced tooth thickness are negatively modified.

When it is not possible to change the center distance between two gears, positive modification can be applied to the smaller gear (to avoid undercut), and negative modification to the larger gear, to keep the center distance the same. In this case, the absolute values of the modification amounts are equal.

4) Meshing of Modified Gears

5) The Functions of Gear Modification
Gear modification can prevent undercutting that occurs due to a small number of teeth during machining. By modifying gears, the desired center distance can be achieved. When there is a significant difference in the number of teeth between a pair of gears, positive modification can be applied to the smaller gear to increase tooth thickness and reduce wear. Conversely, negative modification can be applied to the larger gear to decrease tooth thickness, making the lifespans of both gears more comparable.
7. Gear Accuracy
Gears are mechanical elements that transmit power and rotation. The main performance requirements for gears include:
. Greater power transmission capacity;
. Using gears as small as possible;
. Low noise;
. Accuracy.
To meet these requirements, improving the accuracy of gears becomes essential.
1) Classification of Gear Accuracy
Gear accuracy can be broadly classified into three categories:
a) The accuracy of the involute tooth profile — tooth profile accuracy
b) The accuracy of the tooth line on the tooth surface — tooth line accuracy
c) The accuracy of the tooth/tooth slot position
Tooth division accuracy — single tooth pitch accuracy
Tooth pitch accuracy — cumulative pitch accuracy
Radial runout accuracy — deviation of the measurement ball clamped between two gears in the radial direction

2) Tooth Profile Error

3) Tooth Line Error

4)Tooth Pitch Error

Measure the tooth pitch values on a circumference centered on the gear shaft.
Single Tooth Pitch Deviation (fpt): The difference between the actual tooth pitch and the theoretical tooth pitch.
Cumulative Tooth Pitch Deviation (Fp): Evaluates the deviation of the entire gear's tooth pitches. The total amplitude of the tooth pitch cumulative deviation curve represents the total tooth pitch deviation.
5) Radial Runout (Fr)
Place a probe (spherical or cylindrical) successively in the tooth slots and measure the difference between the maximum and minimum radial distances from the probe to the gear axis. The eccentricity of the gear shaft is part of the radial runout.

6) Radial Composite Total Deviation (Fi'')
So far, we have described methods for evaluating the accuracy of individual gears, such as tooth profile, tooth pitch, and tooth line accuracy. In contrast, there is also a method for evaluating gear accuracy through two-tooth meshing tests after the gear is meshed with a measuring gear. The measured gear's left and right tooth surfaces mesh with the measuring gear and rotate through a full revolution. Changes in the center distance are recorded. The figure below shows the test results for a gear with 30 teeth. The waveform of the single-tooth radial composite deviation has 30 waves. The radial composite total deviation is approximately the sum of the radial runout deviation and the single-tooth radial composite deviation.

7) Relationship Between Various Gear Accuracies
The accuracy of different parts of a gear is interrelated. Generally, radial runout has a strong correlation with other errors, and there is also a strong correlation between various tooth pitch errors.

8) Conditions for High-Precision Gears

8. Gear Calculation Formulas

Calculation of Standard Spur Gears (Small Gear ①, Large Gear ②)

Calculation Formulas for Offset Spur Gears (Small Gear ①, Large Gear ②)

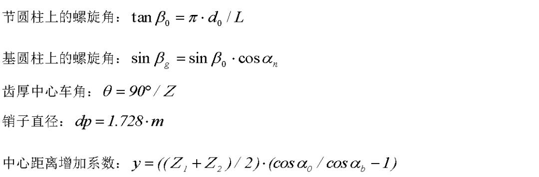
Calculation Formulas for Standard Helical Gears (Normal Plane Method) (Small Gear ①, Large Gear ②)

Calculation Formulas for Offset Helical Gears (Normal Plane Method) (Small Gear ①, Large Gear ②)

Latest News
Contact Us
Name: Sales Team
Mobile: 158 2047 0409
E-mail: [email protected]
WeChat: 158 2047 0409
Whatsapp: +86-158 2047 0409
Add: No. 2, Xinwei 1st Road, Sha'jiao, Humen Town, Dongguan City, Guangdong,China







WhatsApp
Mail inquiry